0

コマンド練習を兼ねて積分ガチャを解く

35
0
$$$$

自己紹介

初投稿です。コマンドなど何も知らないのですが、今後大学でwordやtexを使う可能性を考えて数式を打つ練習したいと思い始めました。

ここでは数式を打つ練習も兼ねて、 おいしい数学 さんが提供している「積分ガチャ」を解いてみたいと思います。

積分ガチャ

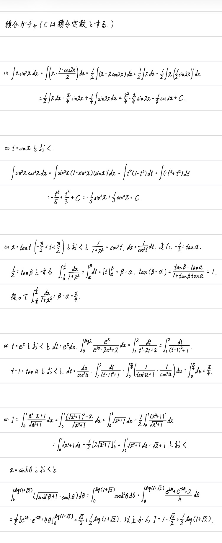
$(1) \displaystyle \int x\sin^2x\,dx$
$(2) \displaystyle \int \sin^2x\cos^3x\,dx$
$(3) \displaystyle \int_{-\frac{1}{3}}^{\frac{1}{2}} \frac{1}{1+x^2}\,dx$
$(4) \displaystyle \int_{0}^{\log2} \frac{e^x}{e^{2x}-2e^x+2}\,dx$
$(5) \displaystyle \int_0^1 \frac{x^2-x+1}{\sqrt{x^2+1}}\,dx $

解答

本当は解答も全部手打ちしたかったのですが、今回は私がgoodnoteに書いた画像で大目に見てください(;;)

各問題の考え方

(1)$\sin^2x$が含まれる単純な形をしているので半角の公式を考えます
(2)$\cos^3x = (1-\sin^2x)(\sin x)'$は一回見たことがないと気が付きにくいかもしれません。置換できる形に持っていく訳です
(3)$\textcolor{red}{\displaystyle \frac{1}{1+\tan^2x} = \cos^2x}$は重要公式で、これを利用して$\displaystyle \frac{1}{1+x^2}$の変形を試みます
(4)$e^x$が多数含まれている式なので安直に$t=e^x$で置き換えます


投稿日:28日前
数学の力で現場を変える アルゴリズムエンジニア募集 - Mathlog served by OptHub

この記事を高評価した人

高評価したユーザはいません

この記事に送られたバッジ

バッジはありません。

投稿者

コメント

他の人のコメント

コメントはありません。
読み込み中...
読み込み中