新規作成
二階線形微分方程式 オイラー型の一般化
二階線形微分方程式 オイラー型の一般化
0
ラベラ
未解決問題
解説
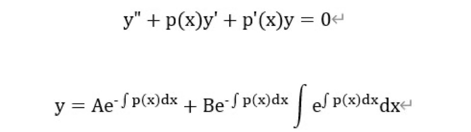
二階線形微分方程式 オイラー型の一般化
微分方程式
,
オイラー型
0
0
41
0
LaTeXエクスポート
この著者は初心者として投稿しています。間違いや考慮が足りていない点が含まれている可能性が高いです。見つけたらコメント欄で優しく指摘してあげましょう。
$$$$
画像の名前
投稿日:3月8日
この記事を高評価した人
高評価したユーザはいません
この記事に送られたバッジ
バッジはありません。
投稿者
ラベラ
0
41
18歳
0
Followers
0
Follow
コメント
他の人のコメント
コメントはありません。
読み込み中...
読み込み中
ラベラ
二階線形微分方程式 オイラー型の一般化