新規作成
ラベラ
0
41
18歳
0
Followers
0
Follow
ホーム
記事
2
本
0
高評価
シリーズ
二階線形微分方程式
オイラー型の一般化
計0記事・3月8日
新着の記事
未解決問題
解説
3月8日
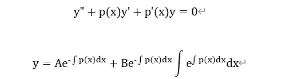
二階線形微分方程式 オイラー型の一般化
微分方程式
,
オイラー型
0
0
41
0
初心者