0
現代数学解説
文献あり

グラフ理論#0「グラフとは?」

115
0
$$\newcommand{gen}[1]{\langle #1 \rangle} \newcommand{im}[0]{\mathrm{Im}} \newcommand{ker}[0]{\mathrm{Ker}} $$

はじめに

注意

調べたことをまとめる。
証明は適当なので使う時は自分で確かめてね。

初めての記事なのでおかしい所があれば指摘して欲しい。

この記事ではグラフといえば有限無向単純グラフを意味する。

今回の目標

グラフの基本的な用語に触れる。

こまごま定義0

グラフ

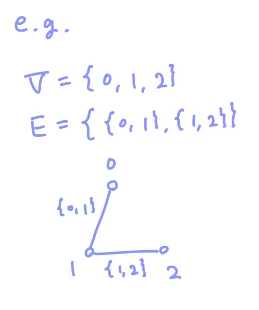
有限集合の組$(V, E)$が以下を満たすとき、$(V, E)$はグラフであるという。

  • $E \subset \{X \in 2^V \ |\ |X| = 2\}$

グラフ$G=(V,E)$に対し、$V$$V(G)$, $E$$E(G)$と書くことにする。
$V(G)$の元を頂点、$E(G)$の元を辺と呼ぶ。

グラフの例 グラフの例

頂点の2点集合をその2頂点を結ぶ辺としている。

グラフはハイパーグラフの一種である。

これを読んでおくといいと思う:ハイパーグラフについて

空グラフ

$G=(\varnothing,\varnothing)$を空グラフと呼ぶ。

隣接・接続

$G$:グラフ

頂点$v \in V(G)$と辺$e \in E(G)$が接続している$:⇔ v \in e$

頂点$v_0, v_1 \in V(G)$が隣接している$:⇔ \{v_0,v_1\} \in E(G)$

$e_0, e_1 \in E(G)$が隣接している$:⇔ e_0\cap e_1 \not = \varnothing$

部分グラフ

$G$:グラフ

$H=(V,E)$$G$の部分グラフであるとは以下を満たすこと:

  • $V \subset V(G)$
  • $E \subset E(G)$
  • $\forall e \in E, e \subset V$

$H$$G$の部分グラフであることを$H \leq G$と書く。

部分グラフ$H \leq G$はグラフである。

$e \in E(H) \subset E(G)$だから$e$$V(G)$の元の2点集合。
$e \subset V(H)$だから$e$$V(H)$の元の2点集合。

接続写像

$v \in V(G)$

$E_G(v):=\{e \in E(G)\ |\ v \in e\}$

グラフの変形

$G$:グラフ
$V \subset V(G)$
$E \subset E(G)$
$H \leq G$
とする。

$$G \setminus E := (V(G),E(G) \setminus E)$$

$$G - V := (V(G) \setminus V, E(G) \setminus \bigcup_{v \in V}{E_G(v)})$$

$$H+E := (V(H) \cup \bigcup_{e \in E}{e}, E(H) \cup E)$$

$$G|_E:=(\bigcup_{e \in E}e,E)$$

これらはグラフ。

$G$:グラフ
$H \leq G$
$E \subset E(G)$

このとき
$(H \setminus E)+E \geq H$

さらに
$\forall e \in E, e \subset V(H)$
$E \subset E(H)$
ならば$(H \setminus E)+E = H$

$H \setminus E = (V(H), E(H) \setminus E)$
$(H \setminus E)+E = (V(H) \cup \bigcup_{e \in E}e, (E(H) \setminus E) \cup E)$

$(E(H) \setminus E) \cup E \supset E(H)$
$V(H) \cup \bigcup_{e \in E}e \supset V(H)$
だから、

$(H \setminus E)+E \geq H$

さらに
$\forall e \in E, e \subset V(H)$
$E \subset E(H)$
のときは
$(E(H) \setminus E) \cup E = E(H)$
$V(H) \cup \bigcup_{e \in E}e = V(H)$
だから、
$(H \setminus E)+E = H$

$G$:グラフ
$H \leq G$
$E \subset E(G)$

このとき
$\forall e \in E, e \subset V(H)$ならば
$(H+E)\setminus E \leq H$

$H+E = (V(H) \cup \bigcup_{e \in E}e, E(H) \cup E)$
$(H+E) \setminus E = (V(H) \cup \bigcup_{e \in E}e, (E(H) \cup E) \setminus E)$

$V(H) \cup \bigcup_{e \in E}e \supset V(H)$
$\forall e \in E, e \subset V(H)$だから$V(H) \cup \bigcup_{e \in E}e = V(H)$

$(E(H) \cup E) \setminus E \subset E(H)$
だから、

$(H+E) \setminus E = (V(H), (E(H) \cup E) \setminus E) \leq H$

グラフの和

$H_0,H_1$:グラフ

$H_0 \sqcup H_1:=(V(H_0) \sqcup V(H_1),E(H_0) \sqcup E(H_1))$

これは$H_0$$H_1$を交わらないようにひとまとめにしたグラフ。

グラフ準同型

グラフ$G,G'$について$\phi:V(G)→V(G')$がグラフ準同型写像$:⇔ \forall \{v_0,v_1\} \in E(G), \phi(\{v_0,v_1\}) \in E(G')$

像の像を考えて$\phi(E(G)) \subset E(G')$とも書く。

互いに逆な準同型写像があるとき、$G,G'$は同型という。

これは頂点の隣接関係を保つ写像

全単射な準同型があっても必ずしも同型ではない。

基本となるベクトル空間

頂点空間

頂点空間 vertex space

$G$:グラフ

$ \mathcal{V} (G):=2^{V(G)}$
$\mathcal{V}(G)$$𝔽_2$代数になる。

$\mathcal{V}(G)$$G$の頂点空間と呼ぶ。
$\mathcal{V}(G)$の元を頂点集合と呼ぶ。

頂点の1点集合全体は$\mathcal{V}(G)$の基底になる。
この基底を$\mathcal{V}(G)$の標準基底と呼ぶことにする。
$\dim(\mathcal{V}(G)) = |V(G)|$である。

辺空間

辺空間 edge space

$G$:グラフ

$\mathcal{E}(G):=2^{E(G)}$
$\mathcal{E}(G)$$𝔽_2$代数になる。

$\mathcal{E}(G)$$G$の辺空間と呼ぶ。
$\mathcal{E}(G)$の元を辺集合と呼ぶ。

辺の1点集合全体は$\mathcal{E}(G)$の基底になる。
この基底を$\mathcal{E}(G)$の標準基底と呼ぶことにする。
$\dim(\mathcal{E}(G)) = |E(G)|$である。

グラフ同型

グラフ$G,G'$に対し、
$\mathcal{V}(G) \simeq \mathcal{V}(G')$かつ$\mathcal{E}(G) \simeq \mathcal{E}(G')$ならば$G \simeq G'$か?

そうでないとしても何か関係はあるか?

シリーズ

シリーズ:グラフ理論

参考文献

投稿日:2025910
更新日:20251115
数学の力で現場を変える アルゴリズムエンジニア募集 - Mathlog served by OptHub

この記事を高評価した人

高評価したユーザはいません

この記事に送られたバッジ

バッジはありません。

投稿者

コメント

他の人のコメント

コメントはありません。
読み込み中...
読み込み中